
本公司及董事会全体成员保证信息披露的内容真实、准确、完整,没有虚假记载、误导性陈述或重大遗漏。
特别提示:
本次提供担保后,公司对合并报表范围内子公司提供的担保余额预计提升至99,374.85万元,占公司2022年度经审计净资产的16.75%。
敬请投资者注意相关风险。
一、担保情况概述
广东宏大控股集团股份有限公司(以下简称“公司”)分别于2023年3月23日和2023年4月14日召开了第六届董事会2023年第二次会议和2022年度股东大会,审议通过了《关于为下属子公司提供担保的议案》,同意2023年度为合并报表范围内企业(含下属子公司之间互相担保)的新增担保额度为不超过13.4亿元,其中向资产负债率为70%以上的担保对象新增担保额度为不超过4亿元,向资产负债率为70%以下的担保对象的新增担保额度为不超过9.4亿元,上述授权有效期为公司股东大会批准之日起一年。内容详见公司于2023年3月25日在巨潮资讯网(www.cninfo.com.cn)上披露的《关于为下属子公司提供担保的公告》(公告编号:2023-021)。
二、担保进展情况
近日,公司与中国农业银行股份有限公司广州流花支行签署了《保证合同》,为公司全资子公司宏大爆破工程集团有限责任公司(以下简称“宏大工程”)在《中国农业银行股份有限公司流动资金借款合同》项下债务提供保证担保,担保方式为连带责任担保,担保债权金额为2100万元美元(折合人民币约1.5亿元)。
本次担保在公司已审批的担保额度范围内。
三、被担保人基本情况
1、公司名称:宏大爆破工程集团有限责任公司
2、成立日期:2014-11-10
3、统一社会信用代码:914401013210286373
4、注册地址:广州市增城增江街联益村光大路28号(仅限办公用途)
5、法定代表人:谢守冬
6、注册资本:50000万人民币
7、经营范围:选矿;对外承包工程;化工产品销售(不含许可类化工产品);土石方工程施工;工程技术服务(规划管理、勘察、设计、监理除外);技术服务、技术开发、技术咨询、技术交流、技术转让、技术推广;建筑工程用机械销售;机械设备销售;特种设备销售;建筑工程机械与设备租赁;矿产资源(非煤矿山)开采;爆破作业;民用爆炸物品生产;建设工程施工;建筑物拆除作业(爆破作业除外);建设工程设计;建设工程监理;建筑劳务分包;道路货物运输(含危险货物);道路货物运输(不含危险货物)
8、股权结构:宏大工程为公司全资子公司
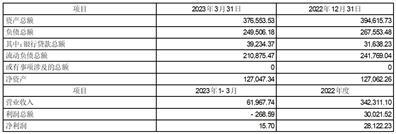
9、主要财务数据:
单位:万元
注:上表中的财务数据为宏大工程单体财务报表数据。
10、截至目前,被担保人宏大工程未被列为失信被执行人。
四、《保证合同》的主要内容
1、保证人:广东宏大控股集团股份有限公司
2、债权人:中国农业银行股份有限公司广州流花支行
3、主合同:债权人与宏大工程之间签署的编号为 44010120230007220的《流动资金借款合同》。
4、被担保的主债权种类:被担保的主债权种类为流动资金贷款。
5、被担保本金数额:2100万元美元
6、保证范围:包括债务人在主合同项下应偿付的借款本金、利息、罚息、复利、违约金、损害赔偿金、迟延履行债务利息和迟延履行金、保全保险费以及诉讼(仲裁)费、律师费等债权人实现债权的一切费用。
7、保证方式:连带责任保证。
8、保证期间:主合同约定的债务履行期限届满之日起三年,商业汇票承兑、信用证和保函项下的保证期间为债权人垫付款项之日起三年,商业汇票贴现的保证期间为贴现票据到期之日起三年。
五、累计对外担保数量及逾期担保的数量
截至本公告日,公司及其控股子公司已获得审批通过的担保总金额为435,000万元。本次提供担保后,预计公司对外担保总余额提升至99,374.85万元,占公司2022年度经审计净资产的16.75%,全部为对合并报表范围内子公司的担保。公司及控股子公司无逾期对外担保,也无涉及诉讼的对外担保及因担保被判决败诉而应承担损失的情形。
六、备查文件
1、公司与中国农业银行股份有限公司广州流花支行签署的《保证合同》。
特此公告。
广东宏大控股集团股份有限公司董事会
2023年6月28日
