
作者:国投安信期货 朱赫 王锴
一、30年国债期货在海外发展的经验
期货合约体系发展
从国际市场情况来看,美国超长期国债期货产品上市时间早,运行发展较为成功,受到市场的广泛关注,是产品体系中重要组成部分。30年期美国国债期货起源于芝加哥交易所(CBOT)。芝加哥商品交易所(CME) 2007年收购CBOT时,芝加哥商品交易所集团接手了这些合约。芝加哥期货交易所于1977年8月推出30年期债券期货。
美国国债期货和期权合约适用于美国国债基准期限:2年期、5年期、10年期和30年期。每一份债券和票据期货合约都有一个相关的交割债券篮子,该篮子按到期日定义了在交割月份卖方可以向买方交割的债券范围。交割机制通过确保期货价格与美国政府债券的价格及其收益率(利率)密切相关来确保期货价格的完整性。在实践中,自2000年以来,只有约7%的国债期货头寸在到期时进行实物交割。
国债现货市场的基础
从美国国债历史发行情况来看,中短期债券发行规模占比较高,其中2年、3年、5年、10年为主要关键期限。在10年以上的期限中,30年期国债为最主要的发行期限,且发行规模自2009年起大幅增加。长期以来,30年期债券一直是其它金融资产的重要估值基准。美国财政部从2001年10月开始,在连续四年预算盈余不断增加之后,暂停了30年期国债的发行。政府的财政状况在2001年9月11日袭击事件后恶化,不过,长期投资的热度回升,发行规模再次回归。
持有者结构层次分明
美国国债持有人以海外投资者为主。市场参与者结构方面,美国国债期货市场的结构比较完善,与其它成熟市场一样,机构投资者为主导地位。按照美国商品期货交易委员会对国债期货参与者的分类,分别有:中介商、资产管理机构、杠杆基金、其他和非报告头寸。中介商主要为美国以及国际银行和投资银行、资产管理机构包含养老基金、共同基金、保险公司、公募基金、杠杆基金包括风险投资、其他机构主要指风险对冲机构。
经验表明超长期国债期货的发展离不开现货市场的支持
良好的国债现券流动性以长期稳定的国债发行预期是国债期货市场稳定可交割券源的基础和关键。大量经验表明,现货充足可以减小国债期货的逼仓,进而增加价格操纵的难度,使得市场多空力量容易达到平衡。期货市场的平稳运行才能吸引到多层次的机构投资者,特别是具备套期保值需求的投资者,因此国债期货的发展与现券发行量密切相关。观察美国市场的经验,长期国债期货产品曾经是交易最活跃的美国利率期货产品,2000年起,美国财政部大幅减少了30年期国债发行量导致长期国债期货成交量出现大幅下跌。市场规模一度被美国5年期和10年期国债期货压制。2006年后美国政府逐渐恢复30年期国债发行,目前美国超长期国债期货市场运行稳定。
二、对现货市场影响—帮助建设更加有效率的金融基础设施
波动性影响验证-国债期货的推出减小了现货市场的波动性,长端品种更为显著。
国债期货的推出可能会在波动性、流动性、信息传递效率等各个方面对现货市场产生影响,其中又以波动性最受关注。波动性是市场价格对信息的反应而引发的波动程度,用来度量市场的风险程度。由于波动性不仅在金融资产的定价和配置中至关重要,还与流动性、信息传递效率等其他指标密切相关,所以一直是金融领域研究的热点。由于海外利率衍生品上市时间更长,研究资料更为充分。目前大部分对于利率期货波动性影响的研究都表明期货上市后对于现货具有平抑波动的作用,但不一定具有统计显著意义。
随着10年期、5年期、2年期、30年期国债期货的陆续上市,国债期货已经成为了调控金融市场的有效工具,但是究竟国债期货能否对现货市场波动性产生影响,这一问题的解答具有较大的现实意义。。因此,我们针对国内期货市场展开相应的统计分析。
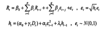
金融资产收益率序列的数据往往存在尖峰厚尾及波动聚集性的特点。尖峰厚尾现象指的是资产收益并非服从标准的正态分布,因而无法用传统的基于正态分布的检验统计量进行检验。波动聚集性(volatility clustering)是指资产收益率的波动不仅随时间变化,而且表现出在某一段时间中连续偏高或偏低的情况。因此,经典的最小二乘回归无法提取上述序列的特征。为此,恩格尔(Engle)于 1982年提出了自回归条件异方差模型(简称ARCH模型),之后的学者又相继推出了基于ARCH 模型的推广模型,形成了ARCH模型族ARCH模型族能够很好的捕捉到金融时间序列数据尖峰厚尾的分布特征,如今已被广泛应用于股票市场、外汇市场及期货市场的研究中,用来描术金融时间序列的波动性特征。
其中(1)为均值方程,(2)为条件方程,我们通过在GARCH模型族的方程式中引入虚拟变量的方式,研究国债期货的推出对现货市场波动性的影响。通过模型的信息准则(AIC)以及大量的既有实验数据,我们采用GARCH(1,1)模型拟合国债期货的时间序列。


从测试结果可以看到,虚拟变量的系数 Y<0且高度显著,即国债期货推出后市场的系统性风险变小了,说明国债期货的推出在一定程度上减小了现货市场的波动性,但减小的幅度有差异,长端品种更为显著。滞后期残差平方项的系数α的值较小,说明市场对新信息的吸收速度较慢,也可能市场在发布前已经有所预知和反应。滞后期条件异方差的系数在5年期货和10年期上较2年期国债期货更大,说明对于长端利率品种,旧信息的影响更为持久,而对于短端利率,反应速度更为短暂。综合来看,国债期货上市后的风险管理能力均能够被定量观测和论证。
领先滞后性检验—中长期国债期货具有价格发现功能
由于国债期货市场拥有杠杆交易、做空机制等特点,理论上相较于国债现货,国债期货的定价能够更加优先和有效地反映市场信息,从而对国债现货的价格起到引导作用。在现实的市场中,我国各类型的国债期货对国债现货的价格引导作用如何?我们通过格兰杰因果关系检验以定量分析 2 年期、5 年期、10 年期国债期货对相应国债现货的价格引导功能。其中,由于30年期国债期货上市时间较短、样本不足,因此没有加入测试当中。

我们选取国债期货结算价作为国债期货的价格指标,选取上证 2 年国债净价指数、上证 5 年国债净价指数、上证 10 年国债净价指数作为国债现货的价格指标。我们对以上价格指标的对数序列做差分,即得到以上价格指标的收益率序列,之后运用格兰杰因果关系检验对对应的国债期货、国债现货的收益率序列建模,模型结果显示, 5 年期和10年期国债期货的收益率是对应期限国债现货收益率的格兰杰原因,但反之不成立。这意味着,5 年期和 10 年期国债期货价格发现功能较强,期货价格变动引导对应的国债现货的价格变动;2 年期国债期货收益率与 2 年期国债现货收益率互为格兰杰原因,表明 2 年期国债期货价格对现货价格的指导意义较弱,可能的原因为 2 年期国债期货的可交割券成交量不高,最廉券估值的波动较大,2 年期国债期货的基差收敛规律较弱。
三、对货币政策传导的影响
美国是典型的以利率传导渠道为主,锁定目标联邦基金利率这一核心指标,通过对其他中介指标的传导实现货币政策的实施,最终实现经济增长及通胀目标。我国货币政策体系以间接调控为主。随着央行货币工具箱的完善、银行间市场的建立,利率市场化改革的大力推进,近年来致力于向价格型货币政策转向,即逐步增强以利率为核心的价格型目标在中介目标体系中的作用。
加强货币政策前瞻指引效力:利率衍生品市场能快速反映政策信息,提升货币政策的传导效率
国债期货有价格发现功能,充分传导政策信号。期货市场的交易与现货市场不同。现货市场采用的是询价制,而国债期货采用的是连续报价,所以期货市场能够更加快速的反应市场上新增的信息,及时地帮助参与者表达看法。国债期货价格信号作用成为货币政策的前瞻指引效力的重要载体。各大类资产的市场参与者都会把此做为重要的是市场估值体系与风险控制的参考.
完善的利率衍生品体系体现市场对于未来经济的预期。提高现货流动性,提高二级市场三十年国债的需求,使之成为更好的货币工具载体30年国债期货上市后,完善了期货市场收益率曲线的搭建,有助于国债现货和期货市场的高质量发展,我国国债期货将覆盖短、中、长、超长期的收益率曲线。这丰富了曲线交易等策略的可选工具,会吸引更多的交易型机构参与市场。券商自营、基金等交易型机构对30年国债期货持有较高的期待与关注度,丰富的工具可以充分发挥价格发现功能,最终推进实体企业的风险管理水平。
国债期货投资者的套利、套保、以及组合策略交易的实现,能够增加市场流动性。对现货流动性的需求帮助带动国债现货市场存量债券的交易,最终跟期货市场形成正反馈。根据相关参考文献的实证研究结果,在国债期货推出以后,短期市场利率的变化对中长期国债收益率的冲击力度加大的同时,波动外没意思持续时间加长,由此可以得到信息从短向长传导的效率提升的结论。
四、对金融机构实践的影响
资管类金融机构-管理风险敞口的利器
随着国债期货市场品种体系的丰富,市场规模的不断扩大,服务实体的能力越来越强。30年国债期货上市,满足对长期配置型机构对于久期敞口风险管理的需求。国内30年期国债存量规模超3万亿元,目前交易的国债中,符合中金所可交割债的要求的存量债券规模达到16388亿元。
保险、银行是市场中对于超长债的主力配置机构。通过市场调研,我们发现保险资管对超长期久期风险管理的需求是切实存在的,近年来,保险公司规模和数量不断扩大,面对激烈的行业竞争,承保费率被不断下调,承保利润逐步缩水。提高投资利润成为保险公司生存和发展的关键点,越来越多保险公司开始设立专门的资产管理公司。
据统计,我国寿险公司资产平均剩余期限约为7年,而负债平均剩余期限约为15年,资产负债久期缺口,其对应的利率风险敞口较大,再投资风险较大,也对寿险公司的偿付能力造成压力。截至2023年2月份,保险资金运用余额中超过10万亿元为债券资产,主动探索资产负债管理模式,在波动的市场中保持组合净值稳定。寿险公司不同程度存在着资产负债久期缺口,缩短久期缺口,降低再投资风险,提升偿付能力水平显得至关重要。对于保险机构来说,多头替代策略、套保策略的使用能够提高投资收益的主要策略。30年期的CTD券相对确定性高,利于机构安排合适的策略,而机构的参与也能提高CTD券的流动性,最终形成正反馈。
存款类金融机构-促进商业银行稳定资产结构
我国金融市场的融资方式以间接融资为主,因此商业银行金融系统信用扩张的重要主体。近年来,国际宏观环境错综复杂,国内货币政策体系也在逐步转型中。随着现代中央银行体系的建立,利率市场化进程不断推进。金融让利于实体经济的背景下,银行面临持续较低的利率水平,最终带来净息差走低的经营现状。与此同时,全球宏观流动性的非稳态带来利率波动性的放大,给商业银行信贷资产带来更多的利率风险。
30年国债期货作为更加有效率的利率管理衍生品工具,能够帮助银行进行利率风险管理。由此,商业银行金融市场部门可以直接在市场进行利润与风险的再匹配,从而不需要将波动传导至信贷资产总量规模和结构变化。这不仅是更加高效的调整方式,更加有利于商业银行做出更加平稳的信贷资产规模的计划,通过规避利率风险的扰动,最终实现预期的增长以及信用扩张。
五、政策建议
明确差异化监管的思路
债券市场投资者绝大数都是机构投资者,但是不同机构面临的监管要求以及经营要求不同,因此其投资风格差异明显。国有商业银行大多采用配置策略,方面流动性管理和安全性。国债、较高等级的信用债、地方政府债券等是主要标的。另一方面,城商行、农商行等银行机构以及非银金融机构面临营更高的收益要求,除了配置策略外,还会采用波段交易和信用下沉等方式。保险公司负债久期最长,投资长期利率债的比例也较高
使用偿付能力、资产负债管理和风险管理能力作为监管依据,鼓励综合能力(例如偿付能力充足率较高、资产负债管理能力评分较高和风险管理体系较为完善等)较强的公司更深入地参与到资本市场中,发挥长期资金对整体经济的作用。并且,合理限制综合能力较差公司的参与程度,引导其通过保险产品管理、资产负债管理和偿付能力管理等传统管理手段,从内部进行管理提升,而非通过投机的手段达到经营目的。这种监管思路符合中国保险市场的实际情况,监管方式的差异化能够起到精准灌溉的作用。中国保险市场的集中度较高,综合能力较好的公司主要集中于大型保险公司,综合能力较弱的公司主要集中于中小型公司,差异化监管可以促进保险公司发展出适合自身情况的管理方式,有效避免发展方向单一、拥挤运营的问题。
鼓励中长期资金创新型投资
引导保险产品多元化和差异化、合理地使用金融衍生品,这些操作需要保险公司从管理架构、投资流程、各部门协作、风险管理和内外部报告等多个方面进行完善和提高,所以对资产负债管理能力和其他风险管理能力方面也会产生积极作用。资产配置的灵活空间越大,可以满足市场需求的保险产品就越多,就可以更佳地匹配市场对于保险市场的需求。权益类投资的更大空间以及金融衍生品投资的灵活性,就可以在保险和养老市场对市场的需求进行匹配。例如对于长期储蓄型产品,可以通过更高的权益资产配置,达到更高的长期预期回报;同时,也可以通过权益类资产以及看跌期权的组合,开发带有保证收益的变额年金产品;再次,也可以通过利率衍生品的应用,开发具有利率选择权的年金产品。
重视资管时代国债期货工具性的使用
2018年以来,随着资管新规的逐步落实,资管行业面临着由预期收益型产品向净值型产品的转型,投资者的风险偏好催生了更高的收益要求,货币基金的较低收益和权益类资产的高波动成为了配置选择中的难题。尽管银行理财子公司目前制度下不能直接投资衍生品市场,但部分理财子公司开始通过与公募、信托合作设立专户的形式来充分发挥金融期货的风险管理和杠杆功能。同时,理财子公司也能将这一类的专户作为与债券、股票等资产相关性较低的基础资产,从理财产品层面进行资产配置,满足居民的理财需求。
保险资金风险偏好较低,资产规模在近年来保持快速增长,对于超长期利率债具有较强的配置需求,超长期限的国债、地方债一直是重要的配置标的。一段时间以来,我国新发行的国债、地方债期限有所缩短,超长期债券供给的缩量,对保险资金资产配置带来了一定影响。面对资产负债久期缺口管理需求以及长久期资产供给不足,保险资金可以运用30年期国债期货优化资产配置管理,在超长期债券供给不足的阶段,选择持有30年期国债期货合约,通过多头套保、现货替代等功能,优化配置效果,缩短资产负债的久期缺口,并有助于提升偿付能力。
30年期国债期货的上市进一步拓宽了保险资金探索多元化投资的空间,提高了险资对债券市场的风险管理能力。投资组合的稳定一直是保险资金较为关注的问题,通过国债期货套期保值业务可以有效对冲市场风险、管理资产负债久期缺口,对风险管理具有重要意义。
参考文献
1. 吴长凤,鲍思晨,郭孟旸. 国债期货在货币政策利率传导中的作用[ J]. 金融期货研究,2018(38).
2. 高见,尹小兵. 风险平价策略及其在投资管理中的运用[J]. 证券市场导报,2016(12)
3. 戎志平. 国债期货交易实务[M].北京:中国财政经济出版社,2017
4. 徐亮. 国债期货投资策略与实务[M]. 北京:经济科学出版社,2020.
